Официальное опубликование правовых актов
ОФИЦИАЛЬНОЕ ОПУБЛИКОВАНИЕ
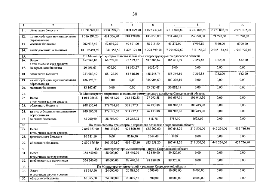
Постановление Правительства Свердловской области от 19.07.2018 № 459-ПП
"О внесении изменений в комплексную программу Свердловской области "Развитие агропромышленного комплекса и сельских населенных пунктов Свердловской области ("Уральская деревня") до 2020 года", утвержденную постановлением Правительства Свердловской области от 03.06.2014 № 471-ПП"
Номер опубликования: 6600201807260020
Дата опубликования: 26.07.2018
Страница №30 из 32:
Увеличить