Официальное опубликование правовых актов
ОФИЦИАЛЬНОЕ ОПУБЛИКОВАНИЕ
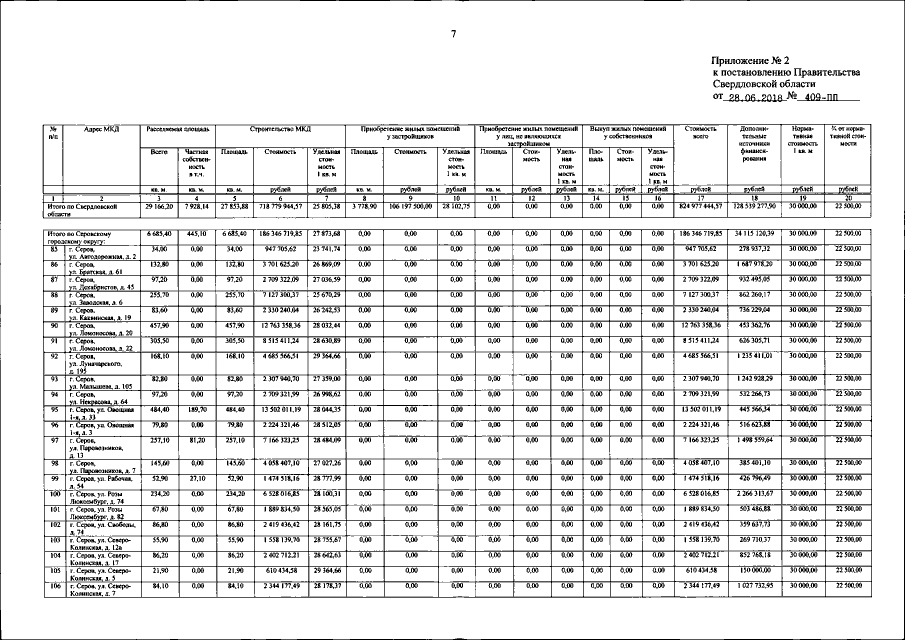
Постановление Правительства Свердловской области от 28.06.2018 № 409-ПП
"О внесении изменений в отдельные постановления Правительства Свердловской области"
Номер опубликования: 6600201807040014
Дата опубликования: 04.07.2018
Страница №7 из 10:
Увеличить