Официальное опубликование правовых актов
ОФИЦИАЛЬНОЕ ОПУБЛИКОВАНИЕ
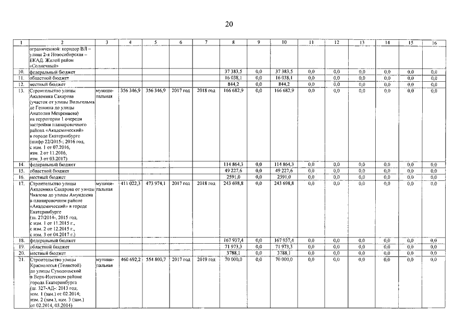
Постановление Правительства Свердловской области от 31.05.2018 № 341-ПП
"О внесении изменений в государственную программу Свердловской области "Реализация основных направлений государственной политики в строительном комплексе Свердловской области до 2024 года", утвержденную постановлением Правительства Свердловской области от 24.10.2013 № 1296-ПП"
Номер опубликования: 6600201806090008
Дата опубликования: 09.06.2018
Страница №20 из 43:
Увеличить