Официальное опубликование правовых актов
ОФИЦИАЛЬНОЕ ОПУБЛИКОВАНИЕ
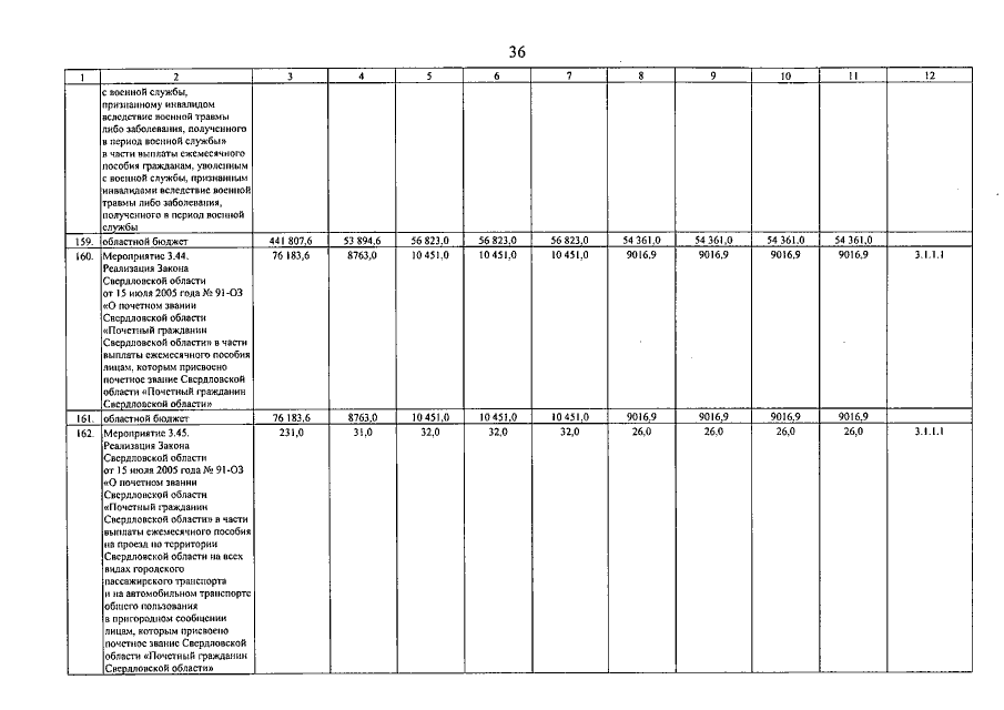
Постановление Правительства Свердловской области от 03.05.2018 № 243-ПП
"О внесении изменений в государственную программу Свердловской области "Социальная поддержка и социальное обслуживание населения Свердловской области до 2024 года", утвержденную постановлением Правительства Свердловской области от 05.07.2017 № 480-ПП"
Номер опубликования: 6600201805100037
Дата опубликования: 10.05.2018
Страница №36 из 66:
Увеличить