Официальное опубликование правовых актов
ОФИЦИАЛЬНОЕ ОПУБЛИКОВАНИЕ
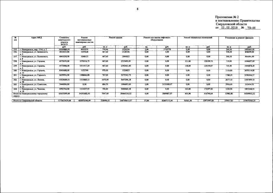
Постановление Правительства Свердловской области от 21.02.2018 № 79-ПП
"О внесении изменений в отдельные постановления Правительства Свердловской области"
Номер опубликования: 6600201803010004
Дата опубликования: 01.03.2018
Страница №8 из 15:
Увеличить