Официальное опубликование правовых актов
ОФИЦИАЛЬНОЕ ОПУБЛИКОВАНИЕ
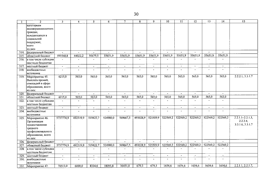
Постановление Правительства Свердловской области от 14.09.2017 № 673-ПП
"О внесении изменений в государственную программу Свердловской области "Развитие культуры в Свердловской области до 2024 года", утвержденную постановлением Правительства Свердловской области от 21.10.2013 № 1268-ПП"
Номер опубликования: 6600201709210006
Дата опубликования: 21.09.2017
Страница №30 из 65:
Увеличить