Официальное опубликование правовых актов
ОФИЦИАЛЬНОЕ ОПУБЛИКОВАНИЕ
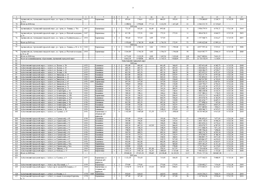
Постановление Правительства Свердловской области от 31.08.2017 № 643-ПП
"Об утверждении Краткосрочного плана реализации Региональной программы капитального ремонта общего имущества в многоквартирных домах Свердловской области на 2018–2020 годы на территории Свердловской области"
Номер опубликования: 6600201709060008
Дата опубликования: 06.09.2017
Страница №9 из 221:
Увеличить