Официальное опубликование правовых актов
ОФИЦИАЛЬНОЕ ОПУБЛИКОВАНИЕ
Постановление Правительства Свердловской области от 31.08.2017 № 643-ПП
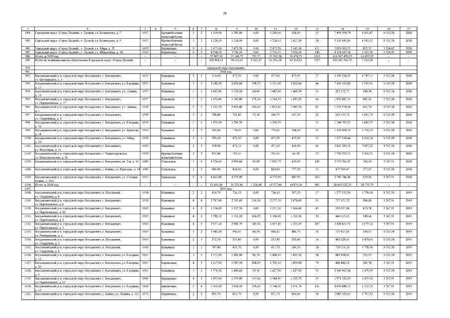
"Об утверждении Краткосрочного плана реализации Региональной программы капитального ремонта общего имущества в многоквартирных домах Свердловской области на 2018–2020 годы на территории Свердловской области"
Номер опубликования: 6600201709060008
Дата опубликования: 06.09.2017
Страница №28 из 221:
Увеличить