Официальное опубликование правовых актов
ОФИЦИАЛЬНОЕ ОПУБЛИКОВАНИЕ
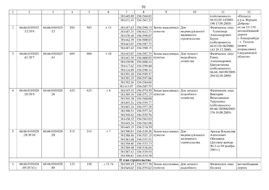
Постановление Правительства Свердловской области от 10.08.2017 № 586-ПП
"Об утверждении основной части проекта планировки территории для размещения линейного объекта "Реконструкция участка Косулино – Баженово Свердловской железной дороги. Третий путь. I этап строительства. Участок Мезенский – Баженово. II этап строительства. Участок Гагарский – Мезенский" и проекта межевания территории для размещения линейного объекта "Реконструкция участка Косулино – Баженово Свердловской железной дороги. Третий путь. I этап строительства. Участок Мезенский – Баженово. II этап строительства. Участок Гагарский – Мезенский"
Номер опубликования: 6600201708140001
Дата опубликования: 14.08.2017
Страница №91 из 105:
Увеличить