Официальное опубликование правовых актов
ОФИЦИАЛЬНОЕ ОПУБЛИКОВАНИЕ
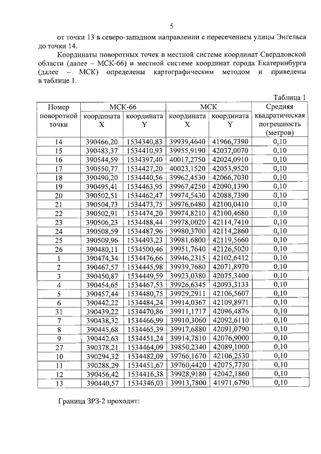
Постановление Правительства Свердловской области от 21.07.2017 № 534-ПП
"Об утверждении границ зон охраны объекта культурного наследия регионального значения "Дом купца Осокина К.Г.", расположенного по адресу: г. Екатеринбург, ул. Энгельса, 16/ ул. Розы Люксембург, 11, режимов использования земель и требований к градостроительным регламентам в границах данных зон"
Номер опубликования: 6600201707270026
Дата опубликования: 27.07.2017
Страница №5 из 11:
Увеличить