Официальное опубликование правовых актов
ОФИЦИАЛЬНОЕ ОПУБЛИКОВАНИЕ
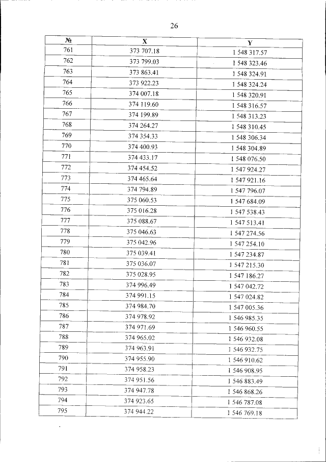
Закон Свердловской области от 14.11.2016 № 107-ОЗ
"О внесении изменений в Закон Свердловской области "О границах муниципальных образований, расположенных на территории Свердловской области"
Номер опубликования: 6600201611210002
Дата опубликования: 21.11.2016
Страница №26 из 37:
Увеличить