Официальное опубликование правовых актов
ОФИЦИАЛЬНОЕ ОПУБЛИКОВАНИЕ
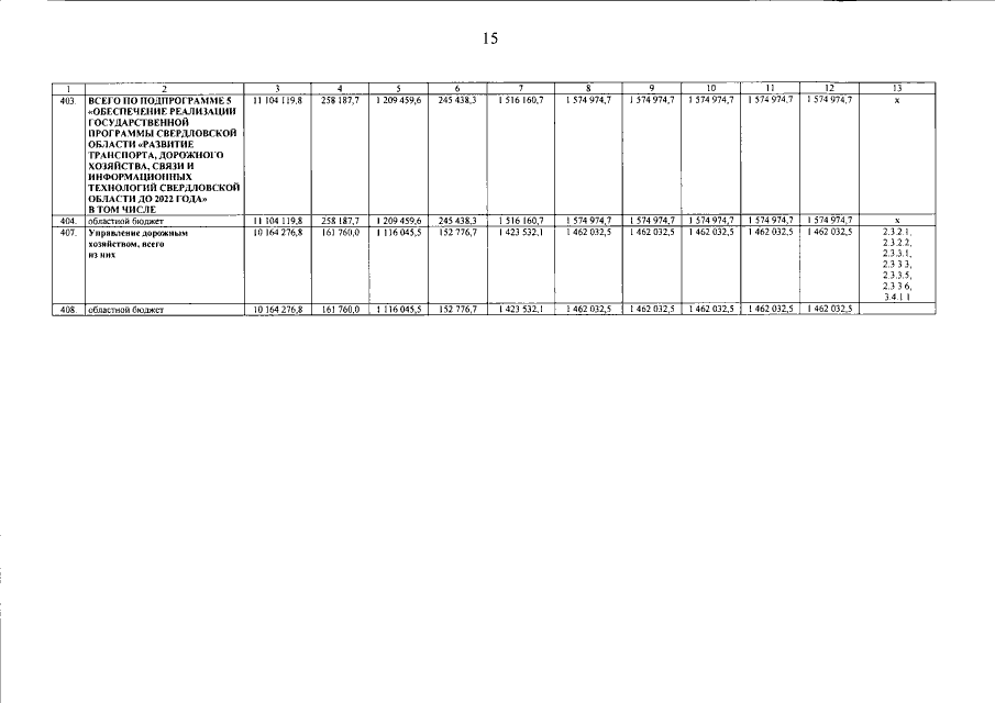
Постановление Правительства Свердловской области от 17.06.2016 № 436-ПП
"О внесении изменений в государственную программу Свердловской области "Развитие транспорта, дорожного хозяйства, связи и информационных технологий Свердловской области до 2022 года", утвержденную постановлением Правительства Свердловской области от 29.10.2013 № 1331-ПП"
Номер опубликования: 6600201606240001
Дата опубликования: 24.06.2016
Страница №15 из 46:
Увеличить