Официальное опубликование правовых актов
ОФИЦИАЛЬНОЕ ОПУБЛИКОВАНИЕ
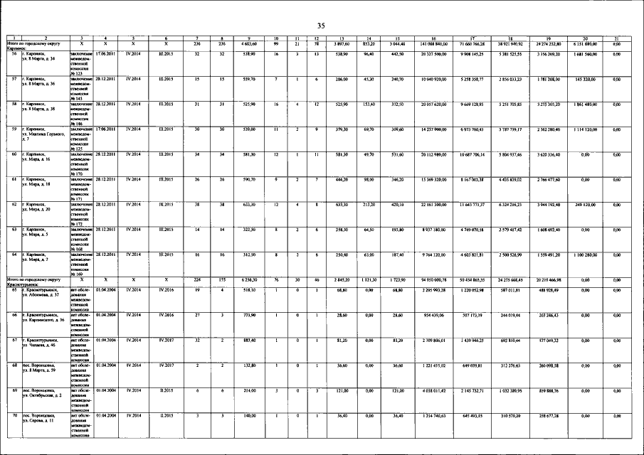
Постановление Правительства Свердловской области от 04.03.2016 № 151-ПП
"О внесении изменений в региональную адресную программу "Переселение граждан на территории Свердловской области из аварийного жилищного фонда в 2013−2017 годах", утвержденную постановлением Правительства Свердловской области от 10.06.2013 № 727-ПП"
Номер опубликования: 6600201603110016
Дата опубликования: 11.03.2016
Страница №35 из 145:
Увеличить