Официальное опубликование правовых актов
ОФИЦИАЛЬНОЕ ОПУБЛИКОВАНИЕ
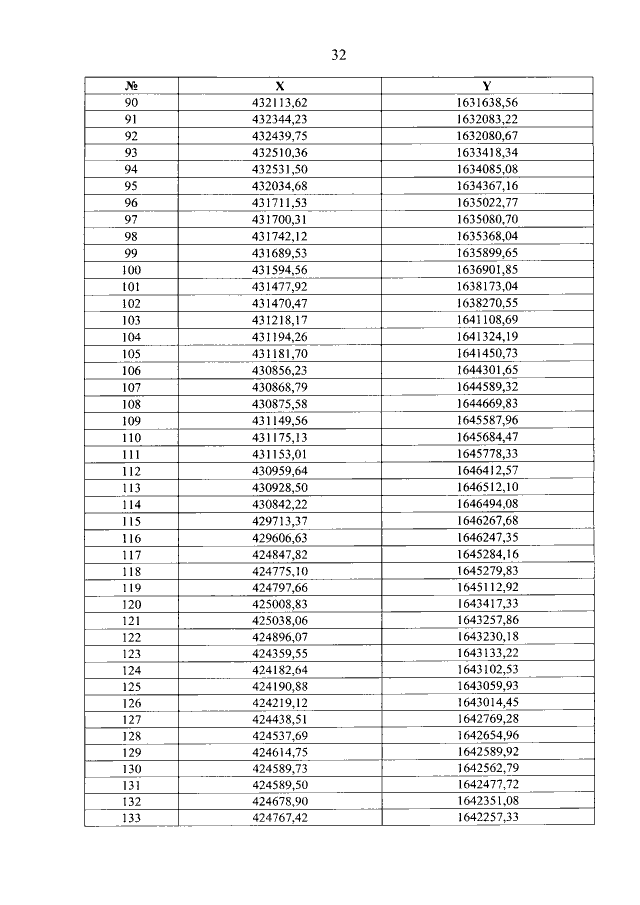
Закон Свердловской области от 04.03.2016 № 19-ОЗ
"О внесении изменений в Закон Свердловской области "О границах муниципальных образований, расположенных на территории Свердловской области"
Номер опубликования: 6600201603090005
Дата опубликования: 09.03.2016
Страница №32 из 45:
Увеличить