Официальное опубликование правовых актов
ОФИЦИАЛЬНОЕ ОПУБЛИКОВАНИЕ
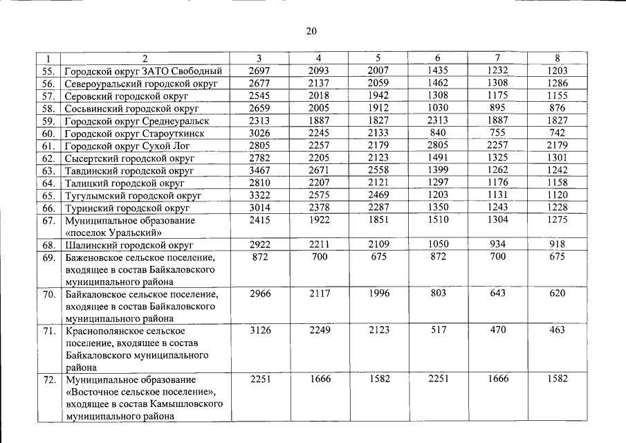
Постановление Правительства Свердловской области от 29.04.2015 № 300-ПП
"Об областном стандарте стоимости жилищно-коммунальных услуг на 2015 год"
Номер опубликования: 6600201505070002
Дата опубликования: 07.05.2015
Страница №20 из 23:
Увеличить