Официальное опубликование правовых актов
ОФИЦИАЛЬНОЕ ОПУБЛИКОВАНИЕ
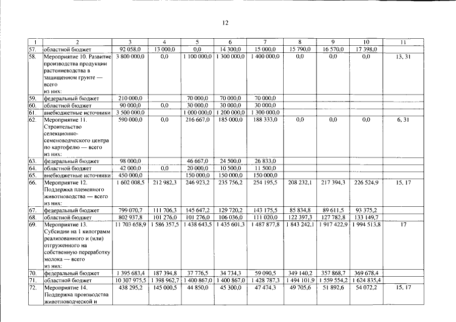
Постановление Правительства Свердловской области от 18.12.2014 № 1167-ПП
"О внесении изменений в государственную программу Свердловской области "Развитие агропромышленного комплекса и потребительского рынка Свердловской области до 2020 года", утверждённую постановлением Правительства Свердловской области от 23.10.2013 № 1285-ПП"
Номер опубликования: 6600201412220016
Дата опубликования: 22.12.2014
Страница №12 из 28:
Увеличить