Официальное опубликование правовых актов
ОФИЦИАЛЬНОЕ ОПУБЛИКОВАНИЕ
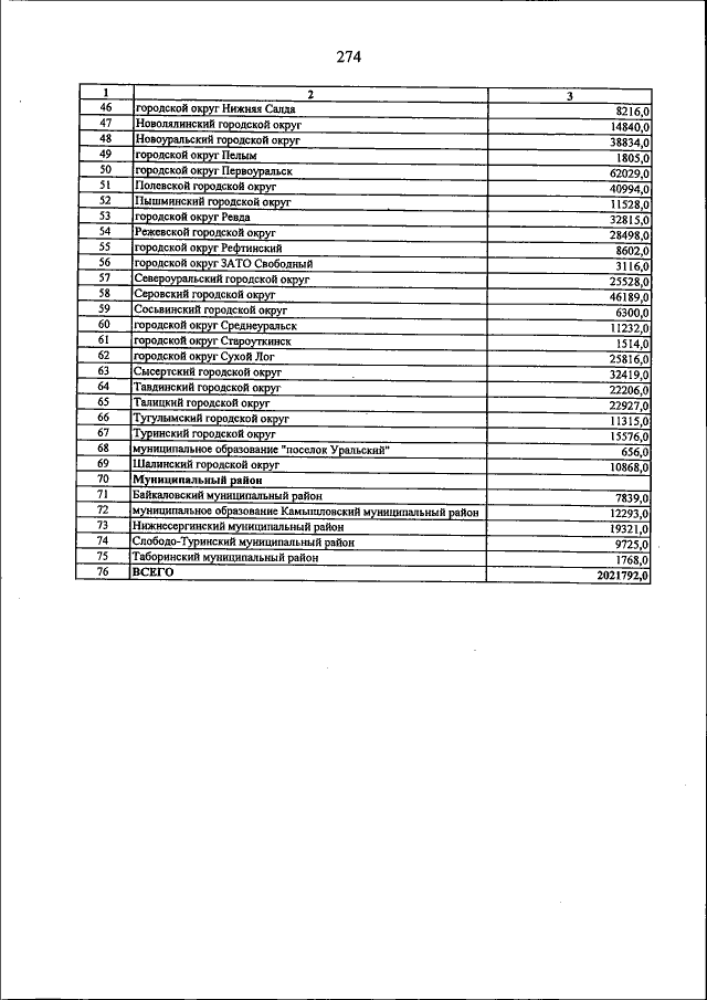
Закон Свердловской области от 17.12.2014 № 113-ОЗ
"О внесении изменений в Закон Свердловской области "Об областном бюджете на 2014 год и плановый период 2015 и 2016 годов"
Номер опубликования: 6600201412180010
Дата опубликования: 18.12.2014
Страница №274 из 281:
Увеличить