Официальное опубликование правовых актов
ОФИЦИАЛЬНОЕ ОПУБЛИКОВАНИЕ
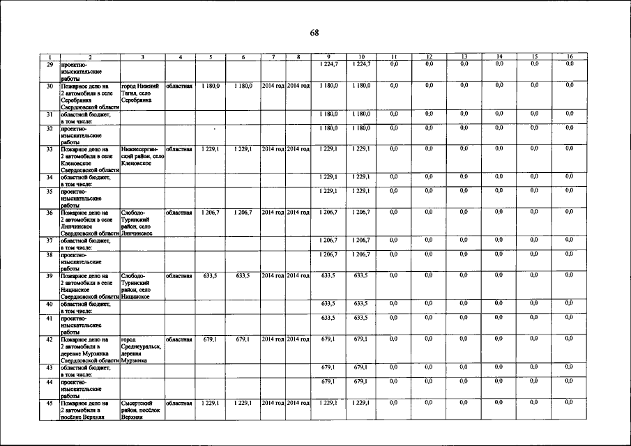
Постановление Правительства Свердловской области от 19.11.2014 № 1015-ПП
"О внесении изменений в государственную программу Свердловской области "Реализация основных направлений государственной политики в строительном комплексе Свердловской области до 2020 года", утверждённую постановлением Правительства Свердловской области от 24.10.2013 № 1296-ПП"
Номер опубликования: 6600201411240024
Дата опубликования: 24.11.2014
Страница №68 из 100:
Увеличить