Официальное опубликование правовых актов
ОФИЦИАЛЬНОЕ ОПУБЛИКОВАНИЕ
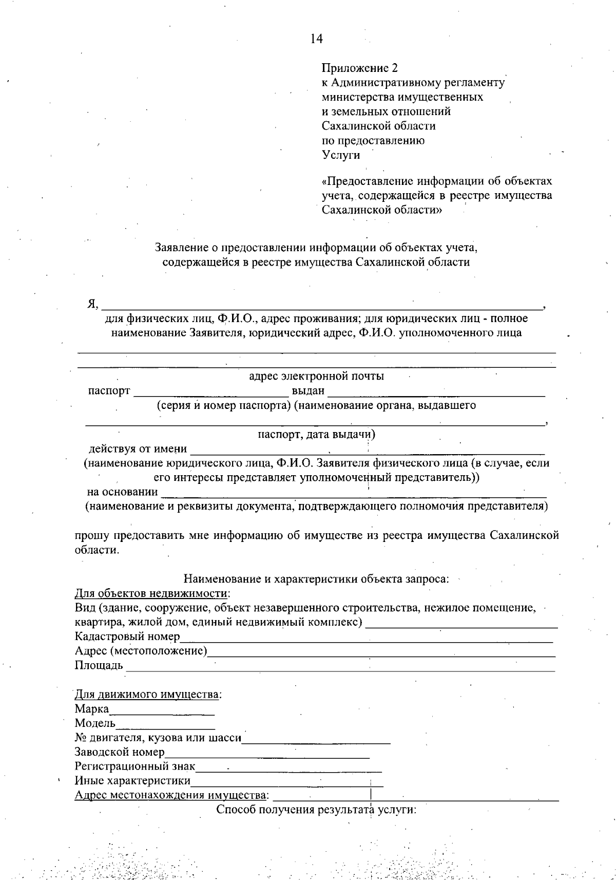
Приказ Министерства имущественных и земельных отношений Сахалинской области от 08.12.2025 № 1-3.04-807/25
"Об утверждении Административного регламента министерства имущественных и земельных отношений Сахалинской области по предоставлению государственной услуги "Предоставление информации об объектах учета, содержащейся в реестре имущества Сахалинской области"
(Зарегистрирован 08.12.2025 № 1-3.04-807/25)
Номер опубликования: 6501202512150004
Дата опубликования: 15.12.2025
Страница №14 из 16:
Увеличить