Официальное опубликование правовых актов
ОФИЦИАЛЬНОЕ ОПУБЛИКОВАНИЕ
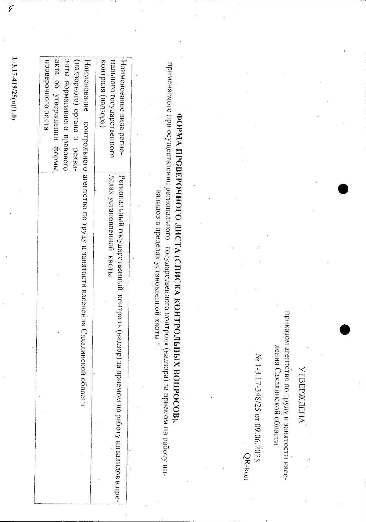
Приказ Агентства по труду и занятости населения Сахалинской области от 09.06.2025 № 1-3.17-348/25
"Об утверждении формы проверочного листа (списка контрольных вопросов), применяемого при осуществлении регионального государственного контроля (надзора) за приемом на работу инвалидов в пределах установленной квоты, и признании утратившим силу приказа агентства по труду и занятости населения Сахалинской области от 11.01.2022 № 1"
(Зарегистрирован 09.06.2025 № 1-3.17-348/25)
Номер опубликования: 6501202506180010
Дата опубликования: 18.06.2025
Страница №3 из 9:
Увеличить