Официальное опубликование правовых актов
ОФИЦИАЛЬНОЕ ОПУБЛИКОВАНИЕ
Приказ Министерства социальной защиты Сахалинской области от 11.12.2024 № 1-3.11-1015/24
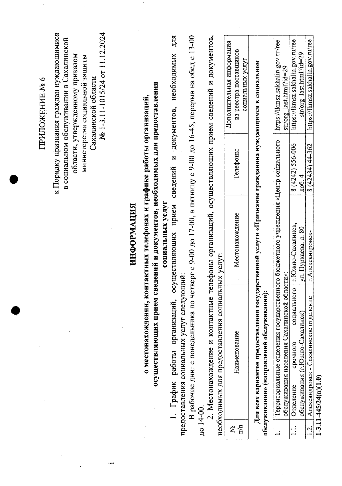
"О внесении изменений в приказ министерства социальной защиты Сахалинской области от 09.09.2021 № 272-н "Об утверждении Порядка предоставления социальных услуг поставщиками социальных услуг в Сахалинской области", утверждении Порядка признания граждан нуждающимися в социальном обслуживании в Сахалинской области и Порядка определения индивидуальной потребности граждан в социальных услугах и составления индивидуальной программы предоставления социальных услуг в Сахалинской области"
(Зарегистрирован 11.12.2024 № 1-3.11-1015/24)
Номер опубликования: 6501202412200012
Дата опубликования: 20.12.2024
Страница №366 из 384:
Увеличить