Официальное опубликование правовых актов
ОФИЦИАЛЬНОЕ ОПУБЛИКОВАНИЕ
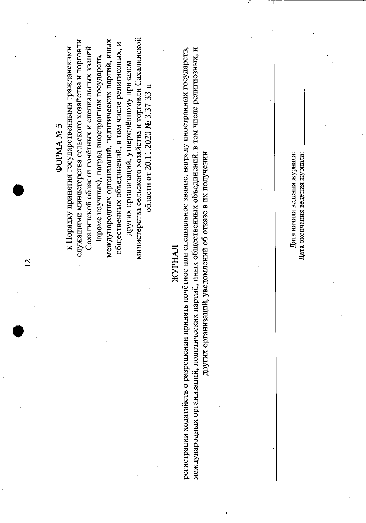
Приказ Министерства сельского хозяйства и торговли Сахалинской области от 07.10.2024 № 1-3.37-827/24
"О внесении изменений в некоторые нормативные правовые акты"
(Зарегистрирован 07.10.2024 № 1-3.37-827/24)
Номер опубликования: 6501202410140003
Дата опубликования: 14.10.2024
Страница №15 из 16:
Увеличить