Официальное опубликование правовых актов
ОФИЦИАЛЬНОЕ ОПУБЛИКОВАНИЕ
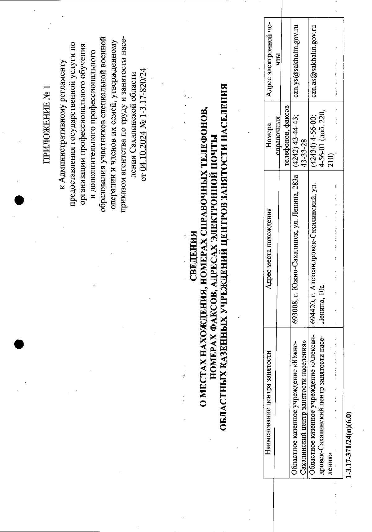
Приказ Агентства по труду и занятости населения Сахалинской области от 04.10.2024 № 1-3.17-820/24
"Об утверждении административного регламента предоставления государственной услуги по организации профессионального обучения и дополнительного профессионального образования участников специальной военной операции и членов их семей"
(Зарегистрирован 04.10.2024 № 1-3.17-820/24)
Номер опубликования: 6501202410100010
Дата опубликования: 10.10.2024
Страница №55 из 72:
Увеличить