Официальное опубликование правовых актов
ОФИЦИАЛЬНОЕ ОПУБЛИКОВАНИЕ
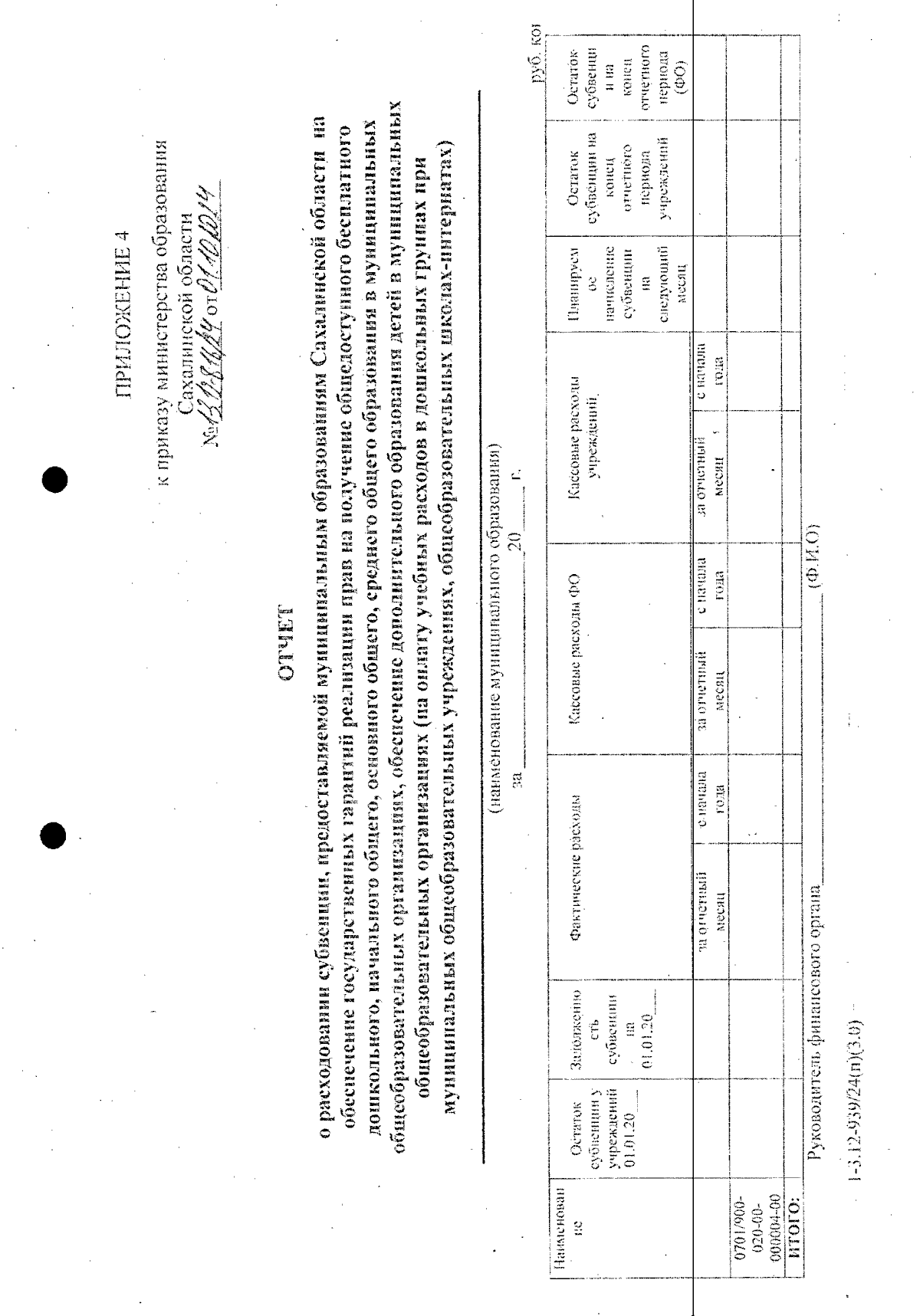
Приказ Министерства образования Сахалинской области от 01.10.2024 № 1-3.12-816/24
"Об утверждении форм отчетов об использовании (расходовании) субвенций, субсидий и иных межбюджетных трансфертов, предоставляемых муниципальным образованиям Сахалинской области, и заявок муниципальных образований о предоставлении субвенции, субсидии, на перечисление иного межбюджетного трансферта из областного бюджета Сахалинской области, и о признании утратившими силу некоторых приказов министерства образования Сахалинской области"
(Зарегистрирован 01.10.2024 № 1-3.12-816/24)
Номер опубликования: 6501202410090001
Дата опубликования: 09.10.2024
Страница №16 из 53:
Увеличить