Официальное опубликование правовых актов
ОФИЦИАЛЬНОЕ ОПУБЛИКОВАНИЕ
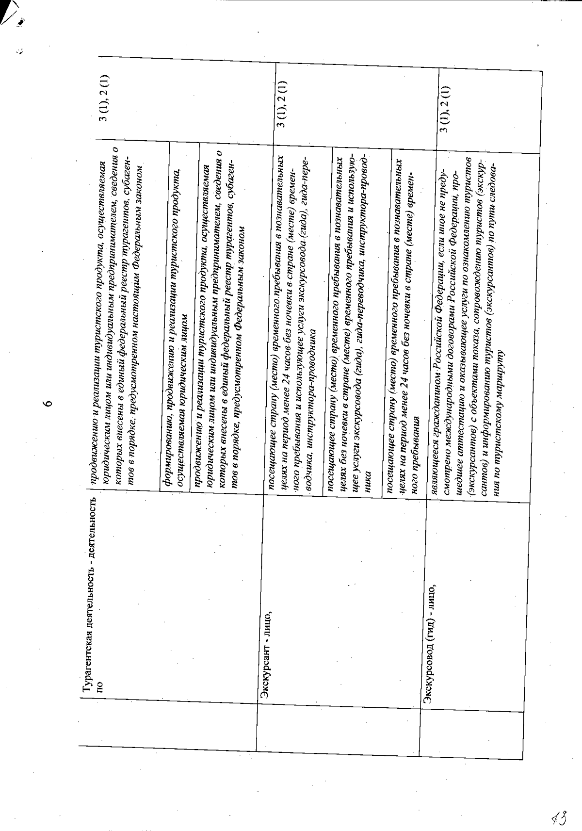
Приказ Министерства туризма Сахалинской области от 17.06.2024 № 1-3.41-519/24
"Об утверждении модели профессиональных компетенций, тестовых вопросов и практических заданий"
(Зарегистрирован 17.06.2024 № 1-3.41-519/24)
Номер опубликования: 6501202406210001
Дата опубликования: 21.06.2024
Страница №13 из 65:
Увеличить