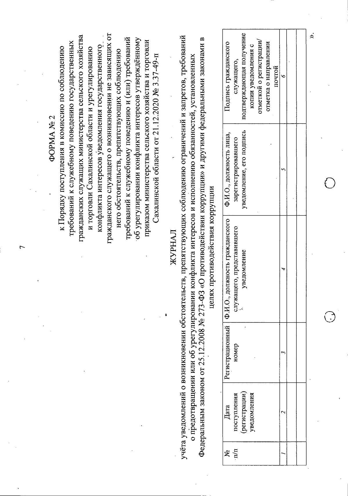
Приказ Министерства сельского хозяйства и торговли Сахалинской области от 28.03.2024 № 1-3.37-258/24
"О внесении изменений в некоторые нормативные правовые акты министерства сельского хозяйства и торговли Сахалинской области"
(Зарегистрирован 28.03.2024 № 1-3.37-258/24)
"О внесении изменений в некоторые нормативные правовые акты министерства сельского хозяйства и торговли Сахалинской области"
(Зарегистрирован 28.03.2024 № 1-3.37-258/24)
Номер опубликования: 6501202403290004
Дата опубликования:
29.03.2024
