Официальное опубликование правовых актов
ОФИЦИАЛЬНОЕ ОПУБЛИКОВАНИЕ
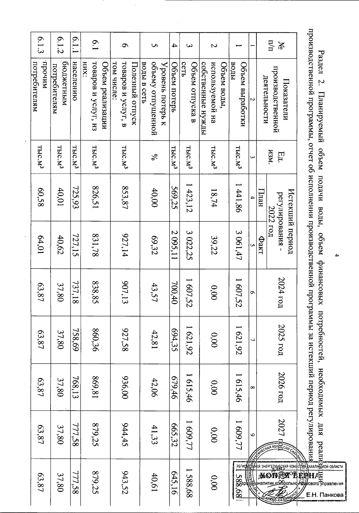
Приказ Региональной энергетической комиссии Сахалинской области от 20.12.2023 № 1-3.25-889/23
"Об установлении тарифов акционерного общества "Сахалинская Коммунальная Компания" на питьевую воду (питьевое водоснабжение), водоотведение и горячую воду (горячее водоснабжение) с использованием закрытой системы горячего водоснабжения на период 2024 - 2028 годов"
(Зарегистрирован 20.12.2023 № 1-3.25-889/23)
Номер опубликования: 6501202312260009
Дата опубликования: 26.12.2023
Страница №4 из 42:
Увеличить