Официальное опубликование правовых актов
ОФИЦИАЛЬНОЕ ОПУБЛИКОВАНИЕ
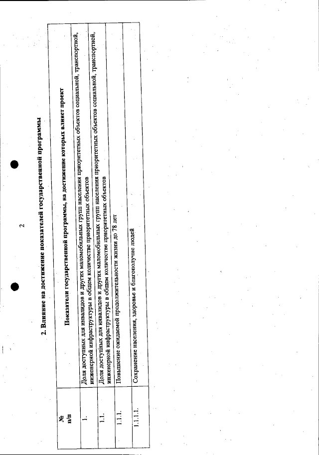
Приказ Министерства социальной защиты Сахалинской области от 15.06.2023 № 1-3.11-318/23
"Об утверждении структурных элементов государственной программы Сахалинской области "Доступная среда в Сахалинской области"
(Зарегистрирован 15.06.2023 № 1-3.11-318/23)
Номер опубликования: 6501202306190006
Дата опубликования: 19.06.2023
Страница №4 из 26:
Увеличить