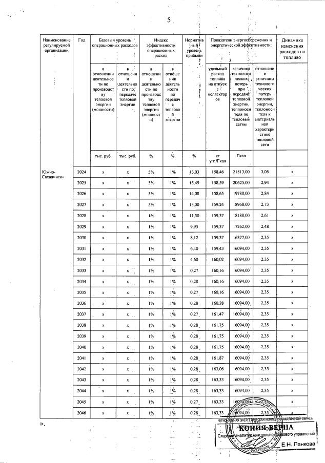
Приказ Региональной энергетической комиссии Сахалинской области от 15.03.2023 № 1-3.25-108/23
"О досрочном пересмотре на 2023 год тарифов на тепловую энергию, поставляемую потребителям общества с ограниченной ответственностью "Интеллектуальные Коммунальные Системы Южно-Сахалинск" на 2022-2023 годы, установленных на долгосрочный период регулирования 2021-2046 годов"
(Зарегистрирован 15.03.2023 № 1-3.25-108/23)
"О досрочном пересмотре на 2023 год тарифов на тепловую энергию, поставляемую потребителям общества с ограниченной ответственностью "Интеллектуальные Коммунальные Системы Южно-Сахалинск" на 2022-2023 годы, установленных на долгосрочный период регулирования 2021-2046 годов"
(Зарегистрирован 15.03.2023 № 1-3.25-108/23)
Номер опубликования: 6501202303170005
Дата опубликования:
17.03.2023
