Официальное опубликование правовых актов
ОФИЦИАЛЬНОЕ ОПУБЛИКОВАНИЕ
Приказ Министерства имущественных и земельных отношений Сахалинской области от 31.01.2023 № 2-П
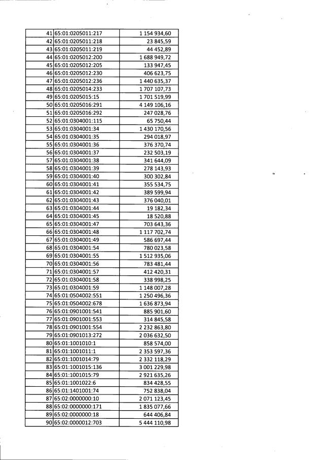
"О внесении изменений в приказ министерства имущественных и земельных отношений Сахалинской области от 02.09.2022 № 15-п "Об утверждении результатов определения кадастровой стоимости земельных участков"
Номер опубликования: 6501202302070002
Дата опубликования: 07.02.2023
Страница №9 из 11:
Увеличить