Официальное опубликование правовых актов
ОФИЦИАЛЬНОЕ ОПУБЛИКОВАНИЕ
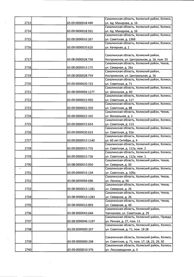
Приказ Министерства имущественных и земельных отношений Сахалинской области от 19.12.2022 № 24-П
"Об определении перечня объектов недвижимого имущества, в отношении которых налоговая база определяется как кадастровая стоимость, на 2023 год"
Номер опубликования: 6501202212210008
Дата опубликования: 21.12.2022
Страница №107 из 145:
Увеличить