Официальное опубликование правовых актов
ОФИЦИАЛЬНОЕ ОПУБЛИКОВАНИЕ
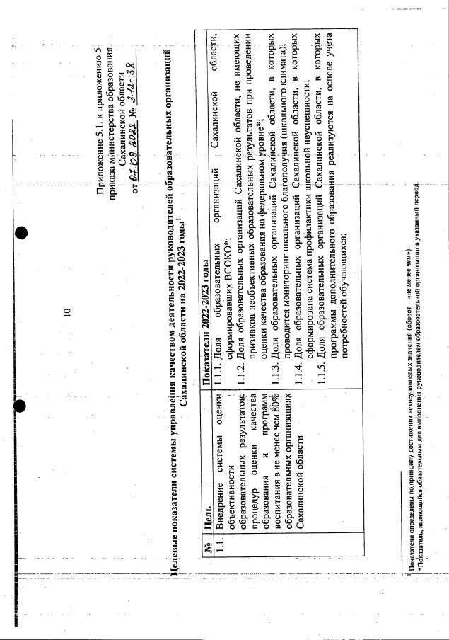
Приказ Министерства образования Сахалинской области от 07.09.2022 № 3.12-38
"Об утверждении концепции региональной системы управления качеством образования Сахалинской области"
Номер опубликования: 6501202209140004
Дата опубликования: 14.09.2022
Страница №126 из 175:
Увеличить