Приказ Региональной энергетической комиссии Сахалинской области от 20.07.2022 № 22-ОКК
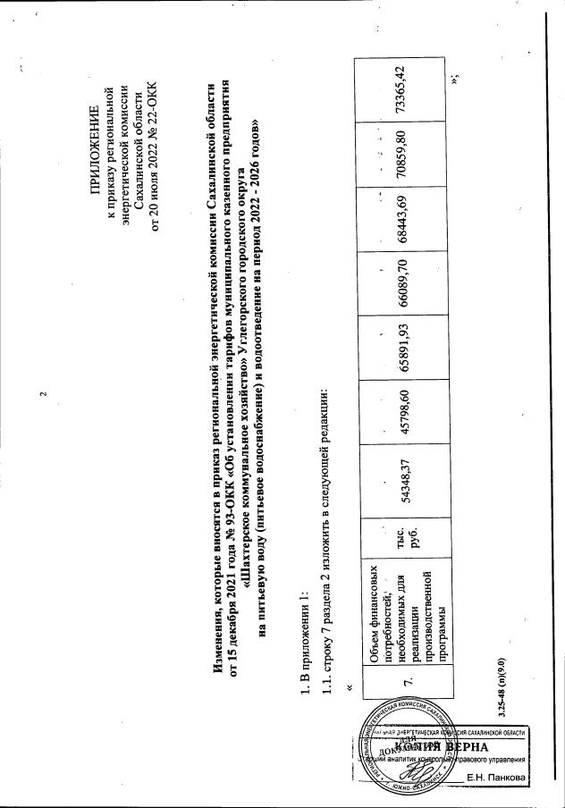
"О внесении изменений в приказ региональной энергетической комиссии Сахалинской области от 15 декабря 2021 года № 93-ОКК "Об установлении тарифов муниципального казенного предприятия "Шахтерское коммунальное хозяйство" Углегорского городского округа на питьевую воду (питьевое водоснабжение) и водоотведение на период 2022 - 2026 годов"
"О внесении изменений в приказ региональной энергетической комиссии Сахалинской области от 15 декабря 2021 года № 93-ОКК "Об установлении тарифов муниципального казенного предприятия "Шахтерское коммунальное хозяйство" Углегорского городского округа на питьевую воду (питьевое водоснабжение) и водоотведение на период 2022 - 2026 годов"
Номер опубликования: 6501202207260002
Дата опубликования:
26.07.2022
