Официальное опубликование правовых актов
ОФИЦИАЛЬНОЕ ОПУБЛИКОВАНИЕ
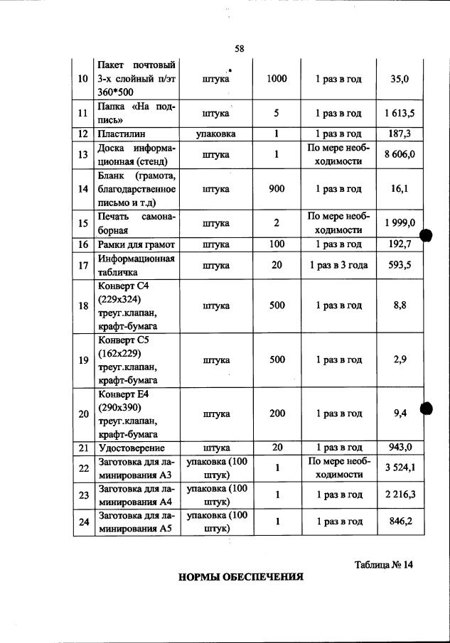
Приказ Министерства здравоохранения Сахалинской области от 31.05.2022 № 3.13-16-п
"Об утверждении нормативных затрат на обеспечение функций министерства здравоохранения Сахалинской области и подведомственных ему казенных учреждений"
Номер опубликования: 6501202206020002
Дата опубликования: 02.06.2022
Страница №61 из 161:
Увеличить