Официальное опубликование правовых актов
ОФИЦИАЛЬНОЕ ОПУБЛИКОВАНИЕ
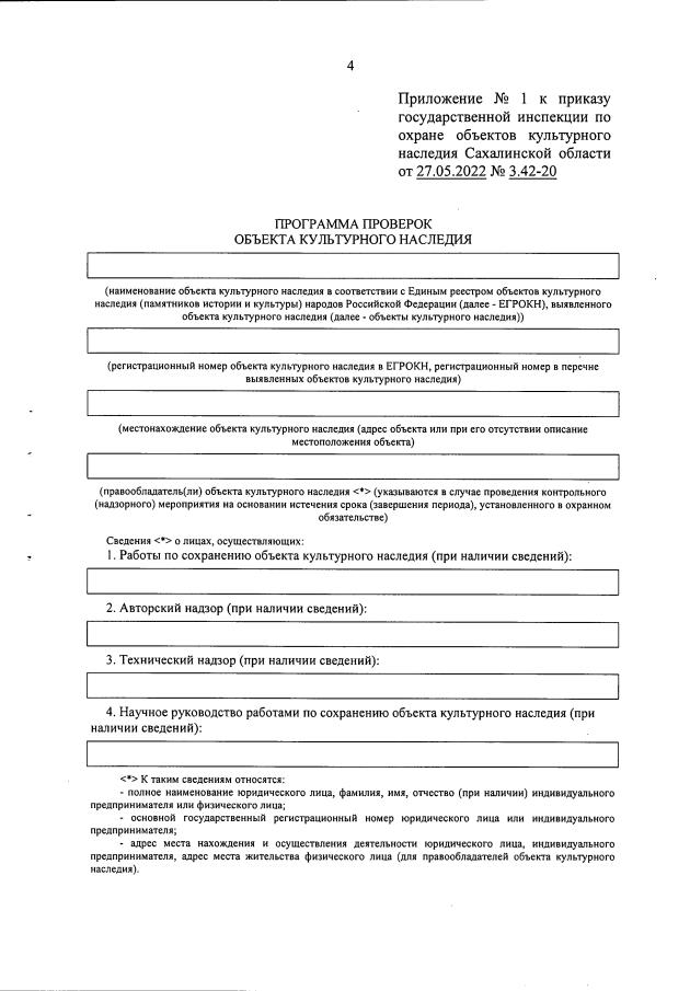
Приказ Государственной инспекции по охране объектов культурного наследия Сахалинской области от 27.05.2022 № 3.42-20
"Об утверждении форм документов, используемых государственной инспекцией по охране объектов культурного наследия Сахалинской области при осуществлении федерального и регионального государственного контроля (надзора) за состоянием, содержанием, сохранением, использованием, популяризацией и государственной охраной объектов культурного наследия"
Номер опубликования: 6501202205310006
Дата опубликования: 31.05.2022
Страница №4 из 21:
Увеличить