Официальное опубликование правовых актов
ОФИЦИАЛЬНОЕ ОПУБЛИКОВАНИЕ
Приказ Министерства имущественных и земельных отношений Сахалинской области от 06.05.2022 № 5-П
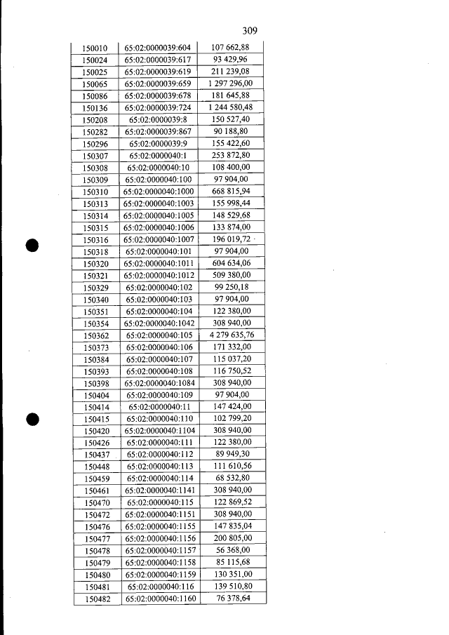
"О внесении изменений в приказ министерства имущественных и земельных отношений Сахалинской области от 24.10.2019 № 12-п "Об утверждении результатов определения кадастровой стоимости земельных участков"
Номер опубликования: 6501202205120003
Дата опубликования: 12.05.2022
Страница №310 из 337:
Увеличить