Официальное опубликование правовых актов
ОФИЦИАЛЬНОЕ ОПУБЛИКОВАНИЕ
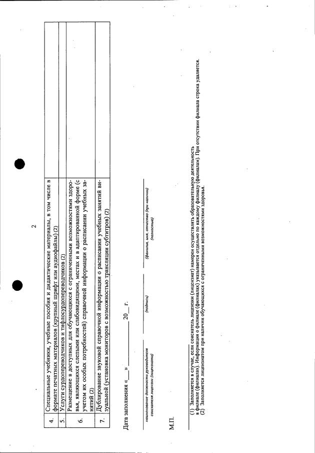
Приказ Министерства образования Сахалинской области от 28.02.2022 № 3.12-8
"Об утверждении форм документов, используемых министерством образования Сахалинской области в процессе лицензирования образовательной деятельности"
Номер опубликования: 6501202203040002
Дата опубликования: 04.03.2022
Страница №24 из 51:
Увеличить