Официальное опубликование правовых актов
ОФИЦИАЛЬНОЕ ОПУБЛИКОВАНИЕ
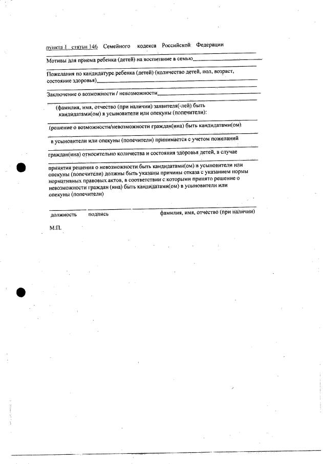
Приказ Министерства образования Сахалинской области от 27.12.2021 № 3.12-42
"Об утверждении административного регламента министерства образования Сахалинской области по предоставлению государственной услуги "Предоставление информации о детях, оставшихся без попечения родителей, и выдача направления на их посещение"
Номер опубликования: 6501202112290010
Дата опубликования: 29.12.2021
Страница №46 из 50:
Увеличить