Приказ Региональной энергетической комиссии Сахалинской области от 27.12.2021 № 90-Э
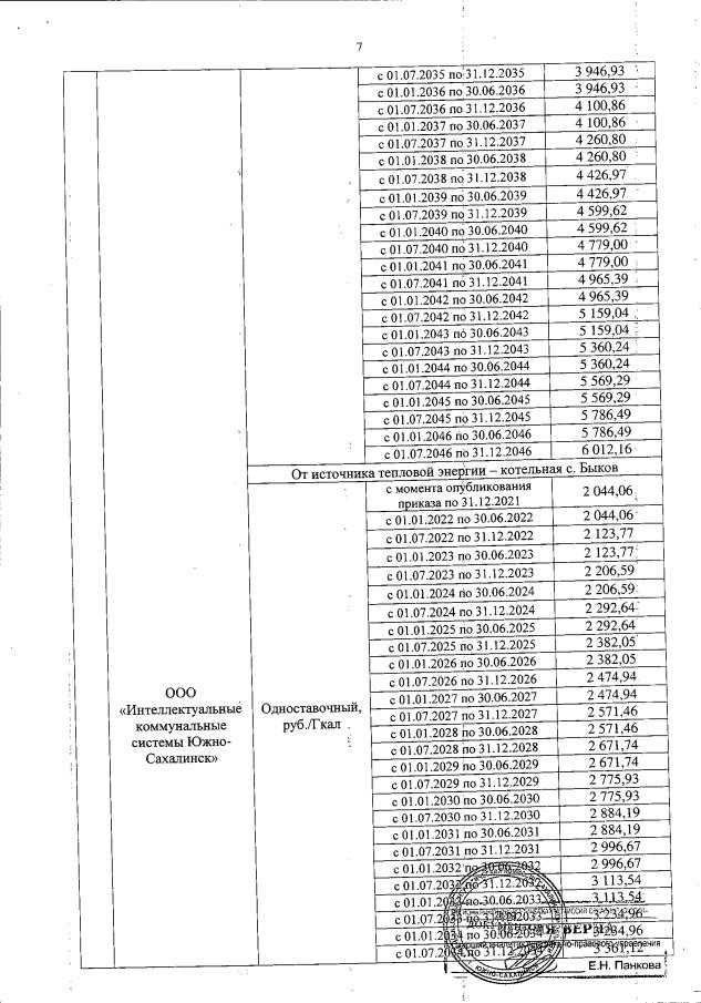
"Об установлении тарифов на тепловую энергию и теплоноситель, поставляемые потребителям ООО "Интеллектуальные коммунальные системы Южно-Сахалинск" на 2021 год, на долгосрочный период регулирования на 2022 -2046 годов."
"Об установлении тарифов на тепловую энергию и теплоноситель, поставляемые потребителям ООО "Интеллектуальные коммунальные системы Южно-Сахалинск" на 2021 год, на долгосрочный период регулирования на 2022 -2046 годов."
Номер опубликования: 6501202112290007
Дата опубликования:
29.12.2021
