Официальное опубликование правовых актов
ОФИЦИАЛЬНОЕ ОПУБЛИКОВАНИЕ
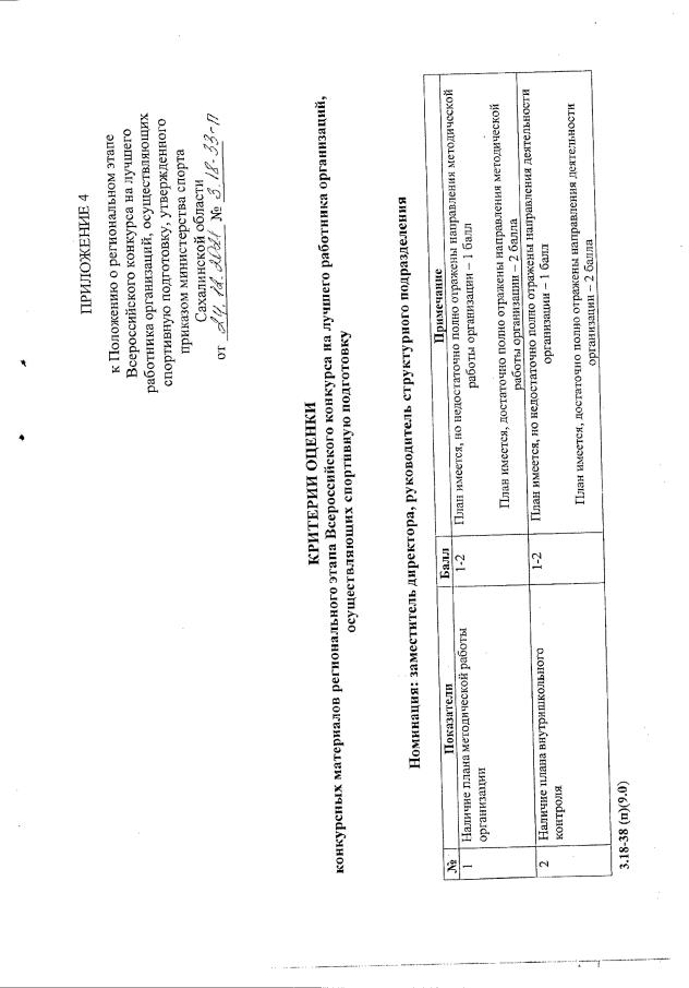
Приказ Министерства спорта Сахалинской области от 24.12.2021 № 3.18-33-п
"Об утверждении Положения о региональном этапе Всероссийского конкурса на лучшего работника организаций, осуществляющих спортивную подготовку"
Номер опубликования: 6501202112290001
Дата опубликования: 29.12.2021
Страница №15 из 26:
Увеличить