Официальное опубликование правовых актов
ОФИЦИАЛЬНОЕ ОПУБЛИКОВАНИЕ
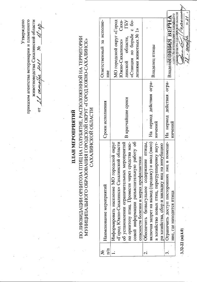
Приказ Агентства ветеринарии и племенного животноводства Сахалинской области от 28.10.2021 № 18-пр
"Об установлении ограничений по орнитозу птиц на голубятне, расположенной на территории муниципального образования городской округ "Город Южно-Сахалинск" Сахалинской области"
Номер опубликования: 6501202110290016
Дата опубликования: 29.10.2021
Страница №3 из 5:
Увеличить