Официальное опубликование правовых актов
ОФИЦИАЛЬНОЕ ОПУБЛИКОВАНИЕ
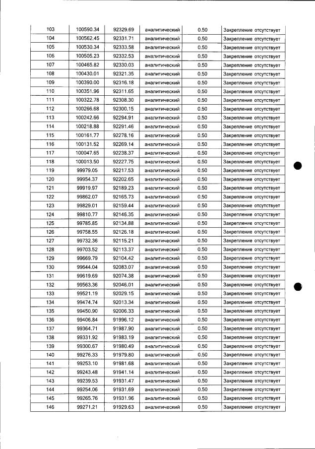
Приказ Министерства транспорта и дорожного хозяйства Сахалинской области от 14.09.2021 № 01/09п
"Об установлении придорожных полос на участках автомобильных дорог общего пользования регионального или межмуниципального значения Сахалинской области"
Номер опубликования: 6501202109220005
Дата опубликования: 22.09.2021
Страница №16 из 365:
Увеличить