Официальное опубликование правовых актов
ОФИЦИАЛЬНОЕ ОПУБЛИКОВАНИЕ
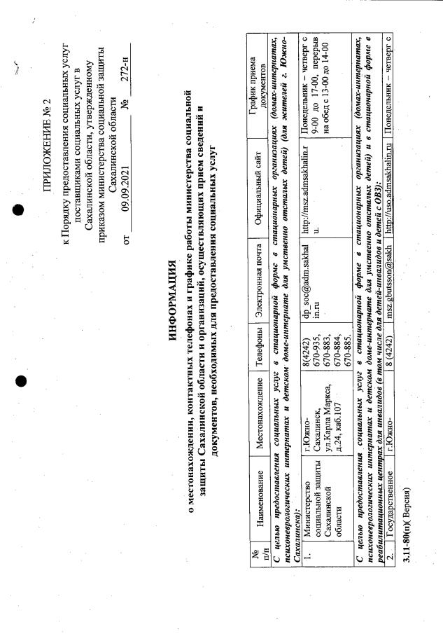
Приказ Министерства социальной защиты Сахалинской области от 09.09.2021 № 272-н
"Об утверждении Порядка предоставления социальных услуг поставщиками социальных услуг в Сахалинской области"
Номер опубликования: 6501202109100009
Дата опубликования: 10.09.2021
Страница №106 из 181:
Увеличить