Официальное опубликование правовых актов
ОФИЦИАЛЬНОЕ ОПУБЛИКОВАНИЕ
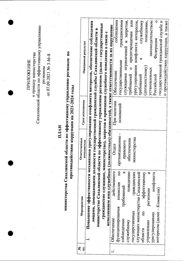
Приказ Министерства Сахалинской области по эффективному управлению регионом от 07.09.2021 № 3.46-8
"Об утверждении Плана министерства Сахалинской области по Сахалинской области по противодействию коррупции на 2021-2024 годы"
Номер опубликования: 6501202109100005
Дата опубликования: 10.09.2021
Страница №3 из 9:
Увеличить