Официальное опубликование правовых актов
ОФИЦИАЛЬНОЕ ОПУБЛИКОВАНИЕ
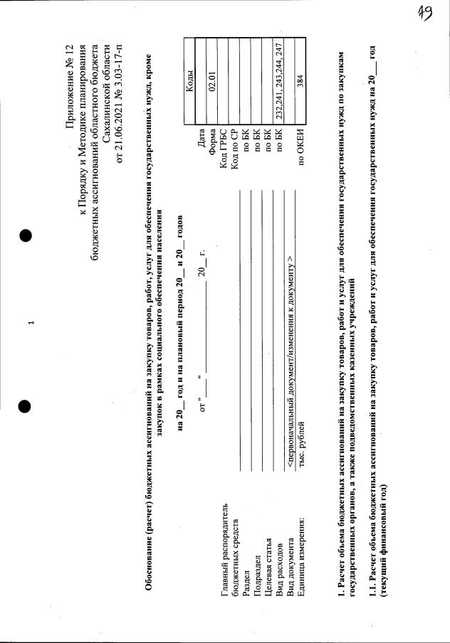
Приказ Министерства финансов Сахалинской области от 21.06.2021 № 3.03-17-п
"Об утверждении Порядка и Методики планирования бюджетных ассигнований областного бюджета Сахалинской области"
Номер опубликования: 6501202106300001
Дата опубликования: 30.06.2021
Страница №79 из 100:
Увеличить