Официальное опубликование правовых актов
ОФИЦИАЛЬНОЕ ОПУБЛИКОВАНИЕ
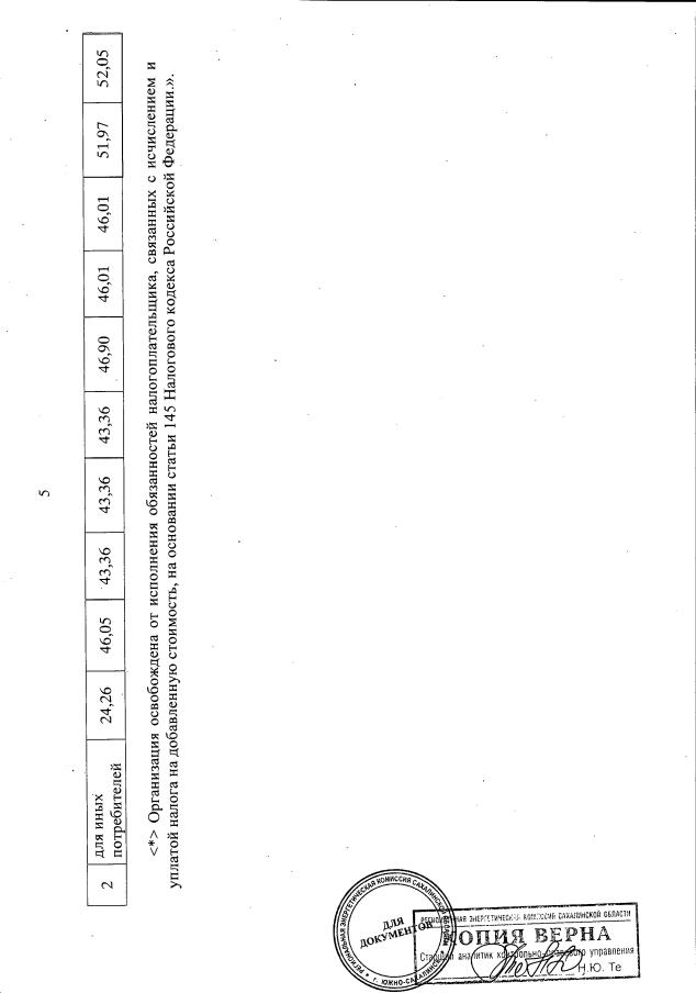
Приказ Региональной энергетической комиссии Сахалинской области от 16.12.2020 № 77-ОКК
"О корректировке на 2021 год тарифов государственного бюджетного учреждения "Кировский детский дом-интернат для умственно отсталых детей" на водоотведение, установленных на долгосрочный период регулирования"
Номер опубликования: 6501202012210016
Дата опубликования: 21.12.2020
Страница №5 из 5:
Увеличить