Официальное опубликование правовых актов
ОФИЦИАЛЬНОЕ ОПУБЛИКОВАНИЕ
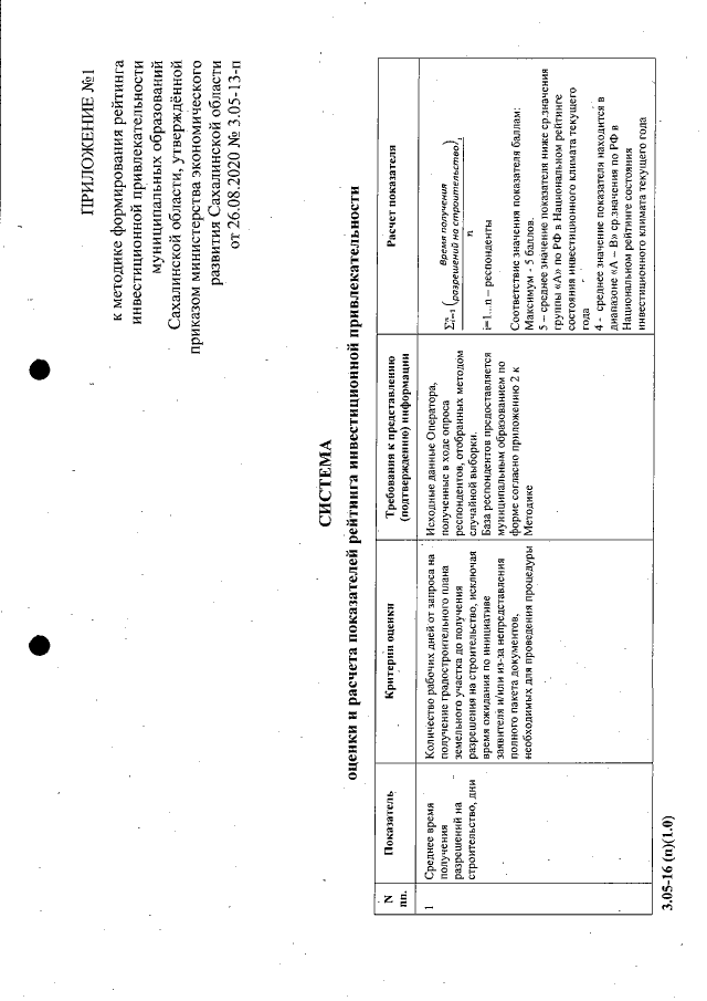
Приказ Министерства экономического развития Сахалинской области от 26.08.2020 № 3.05-13-п
"Об утверждении методики формирования рейтинга инвестиционной привлекательности муниципальных образований Сахалинской области"
Номер опубликования: 6501202008280002
Дата опубликования: 28.08.2020
Страница №8 из 16:
Увеличить