Официальное опубликование правовых актов
ОФИЦИАЛЬНОЕ ОПУБЛИКОВАНИЕ
Приказ Министерства образования Сахалинской области от 22.07.2019 № 3.12-41
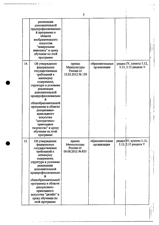
"Об утверждении перечней актов, содержащих обязательные требования, соблюдение которых оценивается при проведении министерством образования Сахалинской области мероприятий по государственному контролю (надзору) в сфере образования"
Номер опубликования: 6501201907290001
Дата опубликования: 29.07.2019
Страница №47 из 60:
Увеличить