Официальное опубликование правовых актов
ОФИЦИАЛЬНОЕ ОПУБЛИКОВАНИЕ
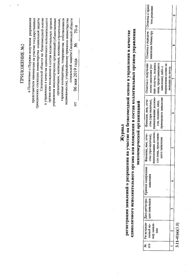
Приказ Министерства социальной защиты Сахалинской области от 06.05.2019 № 70-н
"Об утверждении Положения о Порядке получения разрешения представителя нанимателя на участие государственных гражданских служащих министерства социальной защиты Сахалинской области на безвозмездной основе в управлении в качестве единоличного исполнительного органа или вхождения в состав коллегиальных органов управления некоммерческих организаций (общественные организации, жилищные, жилищно-строительные, гаражные кооперативы, товарищества собственников недвижимости)"
Номер опубликования: 6501201905080002
Дата опубликования: 08.05.2019
Страница №9 из 10:
Увеличить