Официальное опубликование правовых актов
ОФИЦИАЛЬНОЕ ОПУБЛИКОВАНИЕ
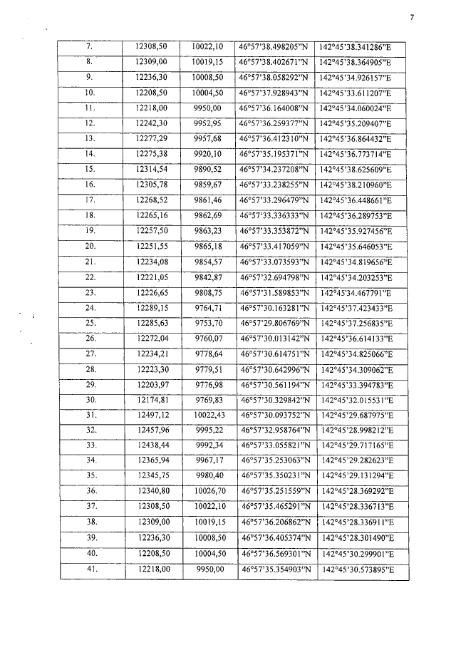
Приказ Государственной инспекции по охране объектов культурного наследия Сахалинской области от 17.04.2019 № 3.42-22
"Об установлении зон охраны объекта культурного наследия регионального значения "Мемориал в честь советских воинов, погибших в боях за освобождение Южного Сахалина и Курильских островов в 1945 г.", а также утверждении требований к градостроительным регламентам в границах данных зон"
Номер опубликования: 6501201904220011
Дата опубликования: 22.04.2019
Страница №7 из 14:
Увеличить